
Sulfindoflufen Provisionally Approved as ISO Common Name for New Acaricide and Insecticide
24 August 2025, New Delhi: The ISO 1750 Maintenance Agency has provisionally approved “sulfindoflufen” as the new ISO common name for an aryltrifluoroethyl acaricide and insecticide developed by Jiangsu Shaanxi Sunger Road Bio-Science Co., Ltd. The approval was granted on 16 August 2025.
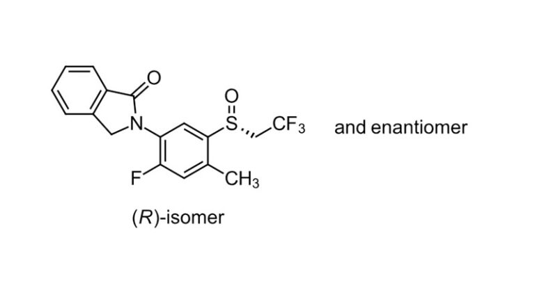
Sulfindoflufen is chemically described as 2-[2-fluoro-4-methyl-5-[(2,2,2-trifluoroethyl)sulfinyl]phenyl]-2,3-dihydro-1H-isoindol-1-one [CAS No. 2410561-41-8]. The Chinese common name is 吲哚螨砜, and in French, the provisionally approved name is sulfindoflufène.
According to ISO guidelines, any objections regarding the use of “sulfindoflufen,” such as potential conflicts with existing trademarks, must be filed with the Maintenance Agency before 16 February 2026. If no objections are received, the name will be formally adopted and published in a forthcoming edition of ISO 1750, which includes both preferred and common names.
Also Read: Delhi High Court Eases Rules for Biostimulant Companies, Ensures Supply for Farmers
📢 If You’re in Agriculture, Make Sure the Right People Hear Your Story.
From product launches to strategic announcements, Global Agriculture offers unmatched visibility across international agri-business markets. Connect with us at pr@global-agriculture.com to explore editorial and advertising opportunities that reach the right audience, worldwide.